GRY-Online.pl --> Archiwum Forum

Pomoc z przekształceniem wzoru

09.11.2009
19:09
[1]

geniusia [ Centurion ]

Pomoc z przekształceniem wzoru

Witam

Mam problem z przekształceniem wzoru s= v0t+gt(kwadrat)/2, tak aby wyliczyć t. Jeśli ktoś mógłby poratować to proszę o pomoc.

Pozdro

09.11.2009
19:11
[2]

Milka^_^ [ Zjem ci chleb ]

v0t na druga stronę, mnożysz x2, dzielisz przez g i pierwiastkujesz ;)

09.11.2009
19:14
[3]

geniusia [ Centurion ]

Po tym mi wyszło pod pierwiastkiem : 2s-2V0t/g, a z lewej mam t i z prawej pod tym pierwiastkiem mam t, czyli lipa troszku

09.11.2009
19:32
[4]

Macco™ [ Child Of The Damned ]

A co masz dane w tym zadaniu? tego wzoru co podałeś chyba nie da rady przekształcić tak żeby mieć t tylko z jednej strony.

09.11.2009
19:35
[5]

@@@ [ Generaďż˝ ]

To jest równanie kwadratowe, jeśli dobrze to przepisałeś. Odsyłam do podręcznika po odpowiednie wzory na pierwiastki równania.

09.11.2009
19:41
[6]

Milka^_^ [ Zjem ci chleb ]

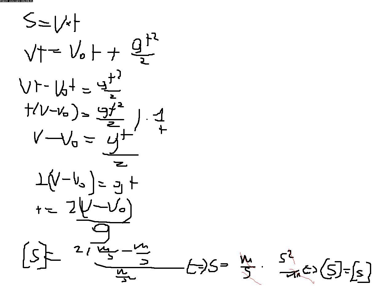
Masz. Skoro Ci nie wyszło to zrobiłem to za ciebie

Ty czekaj a tam jest v0*t? To poczekaj chwile zaraz poprawie.

Za S musisz podstawić v*t


Pomoc z przekształceniem wzoru - Milka^_^
09.11.2009
21:41
[7]

@@@ [ Generaďż˝ ]

Milka <--- Gratulacje. Widzę, że wymyśliłeś matematykę alternatywną.

geniusia <-- Jeżeli oprócz s i t pozostałe symbole są stałymi, to jest to standardowe równanie kwadratowe. Aby je rozwiązać musisz przyrównać je do zera i wyznaczyć miejsca zerowe. Jeżeli natomiast wszystkie symbole są zmiennymi to jest to równanie różniczkowe. Nie wiem co to za zadanie, ale pewnie chodzisz do szkoły podstawowej lub średniej, a tam raczej nie rozwiązuje się równań różniczkowych.

10.11.2009
09:47
[8]

Milka^_^ [ Zjem ci chleb ]

małpo potrójna => A ja widzę, że poprawiasz fizyków ze średniej. Moje gratulacje.

© 2000-2025 GRY-OnLine S.A.