GRY-Online.pl --> Archiwum Forum

Funkcje Trygonometrczyne.

10.03.2009
20:33
[1]

BeneQ junior [ gt: Adrianeo pl ]

Funkcje Trygonometrczyne.

Witam mógłby ktoś podać jakiś sposób na rozwiazanie tych przykładów? albo chociaż jak ugryźć:)?


Funkcje Trygonometrczyne. - BeneQ junior
10.03.2009
20:42
[2]

Sanchin [ Orchid Samurai ]

a - z wzorów skróconego mnożenia i jedynki trygonometrycznej
c i d - pozamieniać tg i ctg na iloraz sin i cos, posprowadzać do wspólnego mianownika
b - nie chce mi się zastanawiać, ale raczej tak jak c i d

10.03.2009
20:46
[3]

jajko w imadle [ ]

1) po lewej stronie skorzystaj z wzoru skróconego mnożenia,
2) sprowadź lewą do wspolnego mianownika
3) z lewej: zamien tg i ctg na ilorazy sin/cos i cos/sin, po sprowadzaj do wspolnego mianownika mianownik, podziel, znajdz jedynke tryg i zrobione.
4) analogicznie do 3)

10.03.2009
20:49
[4]

BeneQ junior [ gt: Adrianeo pl ]

ok dzieki zaraz zrobie to na kartce i jeszcze raz wkleje jezeli mi cos nie wyjdzie

edit:

w tym pierwszym to gdzie jest jedynka?

bo po uzyciu wzoru wychodzi mniej wiecej cos takiego

(cos-sin)(cos^3+cos^2sin+cossin^2+sin^3)

no a jedynka no to jest cos^2+sin^2=1

10.03.2009
21:07
[5]

Didier z Rivii [ life 4 sound ]

[4] lewa strona pierwszego zadania to -->


Funkcje Trygonometrczyne. - Didier z Rivii
10.03.2009
21:13
[6]

BeneQ junior [ gt: Adrianeo pl ]

no ale tam mamy a^4-b^4

czyli nie powinno byc
(a-b)(a^3+a^2b+ab^2+b^3)?

10.03.2009
21:21
[7]

Didier z Rivii [ life 4 sound ]

załóż ze masz tam x^2-y^2, przy czym x=cos^2(a), y=sin^2(a), jeśli Ci to uprości rozumowanie :)

10.03.2009
21:22
[8]

jajko w imadle [ ]

hint: dwa do drugiej do drugiej= dwa do czwartej

10.03.2009
21:33
[9]

BeneQ junior [ gt: Adrianeo pl ]

kurde mozecie napisac rozwiazanie bo jakos nie chce mi wyjsc...

10.03.2009
21:52
[10]

Belert [ Legend ]

1.(cos2x-sin2x)(cos2x+sin2x)=1-sin2x-sin2x=1-2sin2x
tam gdzie jest sin2x to ma byc sin kwadrat x itd.
pomogło ?

11.03.2009
18:53
[11]

BeneQ junior [ gt: Adrianeo pl ]

witam to znów ja:)

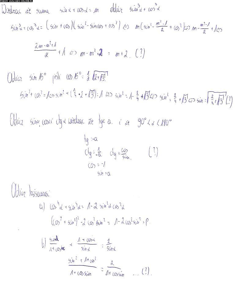
dzisiaj znowu dostalem zadania lecz dzisiaj je juz zrobilem:) mogl by ktos zobaczyc czy one sa dobrze zrobione? oraz pomoc w ostatnim zadaniu bo nie wiedzialem jak tam doprowadzic zeby bylo to samo co po prawej.


Funkcje Trygonometrczyne. - BeneQ junior
11.03.2009
19:32
[12]

Pirix [ ! KB ! Góry górą ]

Przecież po lewej stronie w ostatnim zadaniu masz w liczniku jedynke trygonometryczna :)

11.03.2009
19:52
[13]

BeneQ junior [ gt: Adrianeo pl ]

no tak wiem ze jest jedynka i dlatego ja w liczniku zastosowalem i licznik juz sie zgadza ale nie wiem jak doprowadzic mianownik do sin(alfa) gdy ja tam mam 1+cossin

11.03.2009
20:23
[14]

BeneQ junior [ gt: Adrianeo pl ]

up

11.03.2009
20:58
[15]

BeneQ junior [ gt: Adrianeo pl ]

up

11.03.2009
23:09
[16]

Pirix [ ! KB ! Góry górą ]

Popatrzyłem na cały przykład i widzę, że źle sprowadziłeś do wspólnego mianownika lewą stronę równania. Jak poprawnie sprowadzisz to zastosuj z lewej strony w liczniku jedynkę trygonometryczną. Z tego co zostanie spróbuj wyciągnąć coś przed nawias w liczniku i mianowniku.

© 2000-2025 GRY-OnLine S.A.