lech2x [ Pretorianin ]
Matematyka - Skomplikowane zadanie
Witam, mam do wykonania 6 przykładów z matematyki, ponieważ nie było mnie w szkole jakiś czas, nie mam zielonego pojęcia jak się za to zabrać... Są tu 3 przykłady jeżeli zobaczę rozwiązania kolejne trzy dla mnie nie powinny stanowić problemu...>>>
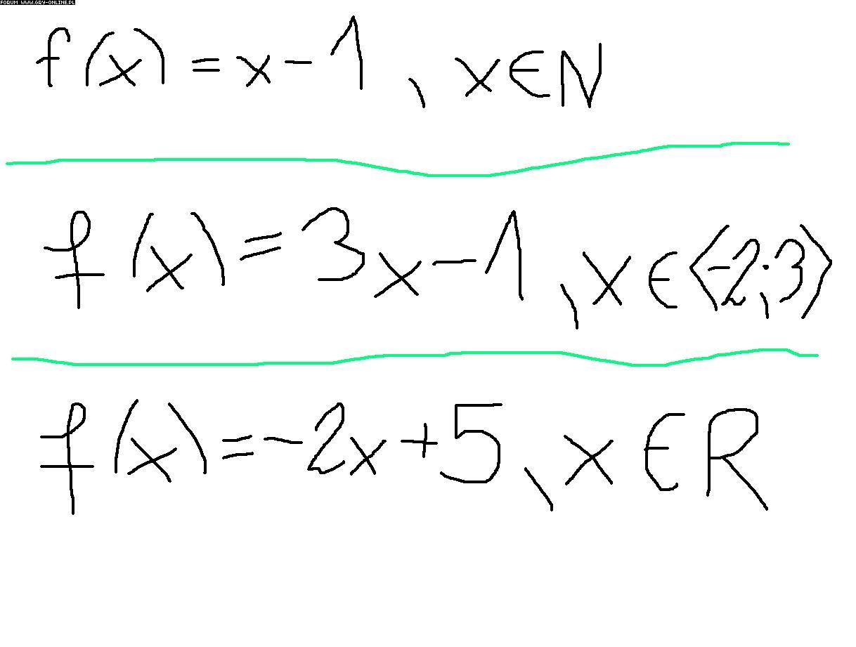
Oto zadanie: Sporządź wykresy funkcji: >>>>>>>>>>>>>>>
lifeb [ Centurion ]
Chyba żartujesz. Jeżeli sam nie potrafisz zrobić tych wykresów, zastanów się nad rzuceniem szkoły i pójściem do pracy przy łopacie
endrju771 [ Slim Shady ]
To jest 6 klasa podstawówki. Jak tego nie rozumiesz, to jak będzie z wielomianami, czy nawet funkcją kwadratową?

jsdfsfgdgh [ Chor��y ]
ojej faktycznie skomplikowane to zadanie, aż strach się bać ;)
podpowiedź: podstaw sobie za x jakieś liczby z podanych zakresów i zacznij sobie to rysować
Heretyk [ Generaďż˝ ]
Są programy do rysowania wykresów w internecie. Poszukaj, będzie Ci łatwiej...
A tak swoją drogą czy polskie szkoły są aż tak tragiczne, że nie potrafią ludzi nauczyć rysowania wykresów funkcji? Wiem, że jednostkowy przypadek o niczym nie świadczy, ale zaczynam się obawiać...
lech2x [ Pretorianin ]
lifeb-
jeżeli chcesz pisać komentarze nic nie wnoszące do tematu to dziękuje, jak dla mnie możesz nie udzielać się wcale!
endrju771 -
To jest technikum
jsdfsfgdgh-
dwa tygodnie mnie w szkole nie było to chyba mam prawo nie wiedzieć?
Rozumiem że pisząc takie komentarze wy też tego nie umiecie? W porządku było trzeba tak od razu powiedzieć, nie obrażę się...!
DiabloManiak [ Karczemny Dymek ]
Jak to zrobic ?
Narysuj układ współrzędnych x i y :) dla kazdej funkcji
narysuj funkcje (czyli wyznacz kilka wartości i narysuj linię łącząca te punkty)
innym kolorem (zaznacz odpowiednie wartości / kawałek funkcji który jest ograniczany zakresem ( bo ten symbol oznacza że x należy (czyli jest) w danym podanym zakresie)i tak
1 .masz ze x ma należeć tylko do N (liczb naturalnych) czyli to będą punkty
2. interesują nas wartości tylko z przedziału (zamknietego) od x =-2 do 3 (linia pomiędzy wartościami dla tych punktów
3. x należy do R ( czyli liczb rzeczywistych) czyli interesuje cię cały wykres funkcji
Dasz rade
(technikum zgroza - to naprawdę było robione kiedyś w podstawówce :P )
Vegatan ale on jest w technikum nie gimnazjum :P a gimnazjum to dla mnie jakiś dziwny wynalazek który mnie ominął :D
Vegetan [ Senator ]
Ale z Was mądrale, nie było go w szkole, to nie ma o tym pojęcia, Wy też byście nie mieli.
I to jest gimnazjum, a nie podstawówka.
Podkładasz po f(x) liczbę należącą do zbioru, wyliczasz x, potem drugą, wyliczasz "y" (czyli f(x)). Potem układ współrzędnych i przerysowywujesz co Ci wyszło, łącząc to ostatecznie prostą.
Dla pierwszego, przykład (najlepiej podłożyć 1 x i 1 y, ale pokazuję, że to nie ma znaczenia większego na tym etapie):
0=x-1
x=1 wychodzi Ci punkt (1,0)
1=x-1
x=2 (2,1)
y=1-1
y=0 (1,0)
y=2-1
y=1 (2,1)
lifeb [ Centurion ]
Powinieneś się wstydzić zgłaszać takie problemy na forum publicznym. Weź książkę, albo poszukaj w necie, i spróbuj sam zrozumieć jak się rozwiązuje takie zadania. Bez funkcji liniowych dalsza nauka matematyki będzie dla ciebie ciężka. Szczególnie, że te zadania to banał na poziom technikum. Przecież to gimnazjum
Heretyk [ Generaďż˝ ]
Wykresem funkcji jest linia prosta.
Masz funkcję y=x-1 więc robisz tak
x = 1 wiec y = x - 1 = 1-1 =0
dalej
x = 2 wiec y = x-1 = 2 -1 = 1
Zaznaczasz na układzie współrzędnych punkty i połącz linią. Jak przedłużysz linię w obie strony, ale tak by przez cały czas była linią prostą to masz wykres funkcji.
Postępuj analogicznie z resztą funkcji, przy czyn f(x)= to to samo co y=...
endrju771 [ Slim Shady ]
Zaraz dam Ci skana. Też jestem w technikum i to miałem, ale miałem to też w gimnazjum. Z podstawówką przesadziłem, przepraszam.
hipppciu [ Pretorianin ]
być w technikum i nie umieć narysować wykresu funkcji... O.o ja rozumiem, że można być chorym, ale, jak już koledzy wcześniej wspomnieli, było to również w gimnazjum...
endrju771 [ Slim Shady ]
Proszę, ale wiedz, że jeśli sam tego nie przeanalizujesz, to dalej z miejsca nie ruszysz. Potem czeka Cię funkcja kwadratowa, to jest już kosmos, porównywanie funkcji, wielomiany, wykresy wielomianów, zobaczysz co to będzie.
edit. Jednak na razie nie :P potem dam, bo pierwszy przykład zwaliłem ^^
Toshi_ [ Generaďż˝ ]
tomazzi [ Young Destroyers ]
[14] 3/3 źle
W 1 x e N więc tylko wartości naturalne czyli same pojedyncze punkty
W 2 zły wykres ogólnie po za tym ma być przedział.
Ten trzeci to tak narysowany że szkoda gadać
Kijano [ Generaďż˝ ]
[14] jesli masz pisac zle to nie pisz wcale
wszystkie wykresy sa zle

endrju771 [ Slim Shady ]
Właśnie zobaczyłem, w 2 wykres nie w tą stronę jest, myli mi się ciągle + i - przy współczynniku przecięcia osi Y... kuźwa. Człowiek 3 miesiące temu to skończył i zapomniał, a 5 z tego było.
Belert [ Senator ]
1 wykres jest zle
to taki wykres kropkowany zamiast linii.kropki zaczynaja sie od 0 i ida w prawo wzdluz linii co 1 z osi x.Ekhm jakos sie zaplatalem w tlumaczeniu tego .
settoGOne [ Konsul ]
Najpierw poczytaj co to są argumenty i wartości funkcji.
Argumentem w pierwszym są wszystkie x należące do liczb naturalnych (tutaj sprawą sprzeczną jest czy należy do tego 0...).
W drugim dziedziną funckji jest x nalezacy do przedzialu zamknietego od -2 do 3, czyli poczawszy od -2 (wlacznie) poprzez np. -1, 0, 1/2, 2/3, 2, do 3 wlacznie. Wszystkie liczby zawierajace sie poprostu w tym przedziale. Na koncach wykresu dajesz "zamalowane koleczka".
W trzecim x nalezy do liczb rzeczywistych - "wszystkie" liczby poprostu. Od -oo do +oo.
Nastepnie. Sa to funkcje liniowe, postaci y=ax+b. Zasiegnij do tablic matematycznych jak wygladaja wykresy funkcji liniowej, jak sie rysuje. Po krotce przedstawie Ci to tak:
wspolczynnik a przy x, czyli np. w 3 funkcji f(x) = -2x + 5 jest rowny a=-2, wyraz wolny b=5
Wyraz wolny (b) mowi, w jakim punkcie na osi y wykres sa przecina, czyli w 5 przecina. Nastepnie patrzysz sobie jaka funkcja przyjmuje wartosc dla y=0, czyli gdzie przecina oś x.
Podstawiasz
0=-2x + 5
-5=-2x
x=2,5
Masz juz dwa punkty, prowadzisz przez nie prostą, symbolicznie ciagnac ja na szerokosci narysowanego ukladu wspolrzednych.
Zobacz sobie jak zmienia się wykres f(x)= x i f(x)=-x zobaczysz o czym Ci mowi wspolczynnik a. Wazne zebys teraz to dokladnie zaanalizowal, bo potem mozesz miec duze problemy z jakakolwiek funkcja, a uwierz... liniowa jest najlatwiejsza z wszystkich.
Wytlumaczenie tego, poprzez narysowanie tabelki X Y jest niby fajne dla oka, ale lepiej zebys skumal to w w/w sposob.
lech2x [ Pretorianin ]
Cały czas mówicie że to takie łatwe, a sami nie umiecie dobrze zrobić :p
Katane [ Rainwalker ]
Ten temat jest przerazajacy.
Heretyk [ Generaďż˝ ]
A przeczytałeś co napisaliśmy?
Albo czy widziałeś co endrju zeskanował?
Jak chcesz by ktoś CI pomógł to chociaż jego pracę przeczytaj.

flikt [ wandalista ]
po co komu umiejetnosc rozwiazywania takich pierdol o ile nie wiaze swojej przyszlosci z rozwiazywaniem funkcji liniowych?
Katane [ Rainwalker ]
po co komu umiejetnosc rozwiazywania takich pierdol o ile nie wiaze swojej przyszlosci z rozwiazywaniem funkcji liniowych?
To jest umiejetnosc tak podstawowa i wykorzystywana (czasem nieswiadomie) tak czesto, ze powinien to umiec nawet facet od lopaty.
Mam na mysli zrozumienie takich prostych funkcji - no ale jak sie rozumie to narysowanie tego to juz nie problem.
Rybha [ Generaďż˝ ]
Według mnie tak to powinno wyglądać.
Likfidator [ Konsul ]
O zgroza! Matematyka szkolna :/
Śmieszne jest to, że te funkcje wcale nie są liniowe tylko afiniczne, ale to tylko jedna z dziwnych rzeczy jakie uczą dzieci w szkołach na matematyce.
DogGhost [ Pretorianin ]
Boże to takie infantylne przykłady robi się w technikum o_O W takim razie dobrze, że skończyłem liceum xD A mówią, że w technikach matematyka jest na wysokim poziomie lol
SPMKSJ [ Konsul ]
Likfidator<---
To, że w matematyce w algebrze liniowej używa się tych samych nazw co w analizie matematycznej do nazwania dwóch różnych pojęć, to jeszcze nie znaczy, że w analizie ta 3 funkcja nie jest liniowa. Pierwsze dwie nie spełniają założeń funkcji liniowych (definicja wymaga dziedziny R).
mineral [ Senator ]
endrju771 [ Level: 27 - Teleinformatyk ]
To jest 6 klasa podstawówki. Jak tego nie rozumiesz, to jak będzie z wielomianami, czy nawet funkcją kwadratową?
+
[14]
=
EPIC FAIL
DogGhost [ Pretorianin ]
-> [14] Najlepsze w drugim przykładzie f(x)=3x-1 dla x=0 wychodzi y=1: LOL ^_^
Likfidator [ Konsul ]
SPMKSJ <--
Po pierwsze w analizie jak i algebrze używa się dokładnie tych samych pojęć i funkcja liniowa jest zdefiniowana w następujący sposób:
f: A -> B, gdzie A i B są przestrzeniami liniowymi nad ciałem K.
Dla dowolnych a,b należących do K i dowolnych x,y należących odpowiednio do A i B zachodzi
f(ax+by) = a*f(x) + b*f(y).
Łatwo pokazać, że f(x)=ax+b liniowe nie jest, dla b różnego od 0.
Pierwsze dwie nie spełniają założeń funkcji liniowych (definicja wymaga dziedziny R)
Definicja mówi o dowolnym ciele, chociaż masz rację N i [2,3] ciałami nie są, przynajmniej ze standardowo określonymi działaniami '+' i '*'.
SPMKSJ [ Konsul ]
Likfidator <--- Przesłałem Ci linka do definicji z Wikipedii, tam też jest wytłumaczona ta "dwuznaczność" pojęcia funkcji liniowej. Nie będę z Tobą polemizować. Możesz polemizować z Wikipedią.
SPMKSJ [ Konsul ]
W Wikipedii mówią o "matematyce elementarnej", więc w Matematyce pojęcia faktycznie są uogólnione i tylko w tym momencie masz rację. To nie znaczy, że funkcji xf = ax+b nie można nazwać liniową. To zależy od przyjęcia definicji i taką definicję przyjmuje się w matematyce elementarnej (najprawdopodobniej z potrzeby uproszczenia pewnych pojęć), więc Twoja krytyka szkolnego nauczania jest bez sensu.
Marcinwin [ Konsul ]
Olej to zadanie, do kopania rowów to nie jest potrzebne.